
PUBLICATIONS
The below provides a list of my published, refereed, scientific journal articles. Automatically updated lists can also be found through my ADS library or ORCiD page.
First-author publications
[12] 2023
Driving action on the climate crisis through Astronomers for Planet Earth and beyond
Adam R. H. Stevens and Vanessa A. Moss
Communicating Astronomy with the Public Journal, issue 32, in press
While an astronomer's job is typically to look out from Earth, the seriousness of the climate crisis has meant a shift in many astronomers' focus. Astronomers are starting to consider how our resource requirements may contribute to this crisis and how we may better conduct our research in a more environmentally sustainable fashion. Astronomers for Planet Earth is an international organisation (more than 1,700 members from over 70 countries as of November 2022) that seeks to answer the call for sustainability to be at the heart of astronomers' practices. In this article, we review the organisation's history, summarising the proactive, collaborative efforts and research into astronomy sustainability conducted by its members. We update the state of affairs with respect to the carbon footprint of astronomy research, noting an improvement in renewable energy powering supercomputing facilities in Australia, reducing that component of our footprint by a factor of 2–3. We discuss how, despite accelerated changes made throughout the pandemic, we still must address the format of our meetings. Using recent annual meetings of the Australian and European astronomical societies as examples, we demonstrate that the more online-focussed a meeting is, the greater its attendance and the lower its emissions.

[11] 2021
Molecular hydrogen in IllustrisTNG galaxies: carefully comparing signatures of environment with local CO and SFR data
Adam R. H. Stevens, Claudia del P. Lagos, Luca Cortese + 7 co-authors
Monthly Notices of the Royal Astronomical Society, volume 502, pages 3158--3178
We examine how the post-processed content of molecular hydrogen (H2) in galaxies from the TNG100 cosmological, hydrodynamic simulation changes with environment at z = 0, assessing central/satellite status and host halo mass. We make close comparisons with the carbon monoxide (CO) emission survey xCOLD GASS where possible, having mock-observed TNG100 galaxies to match the survey's specifications. For a representative sample of host haloes across 10^11 ≲ M_200c/M_⊙ < 10^14.6, TNG100 predicts that satellites with m_∗ ≥ 10^9 M_⊙ should have a median deficit in their H2 fractions of ∼0.6 dex relative to centrals of the same stellar mass. Once observational and group-finding uncertainties are accounted for, the signature of this deficit decreases to ∼0.2 dex. Remarkably, we calculate a deficit in xCOLD GASS satellites' H2 content relative to centrals of 0.2--0.3 dex, in line with our prediction. We further show that TNG100 and SDSS data exhibit continuous declines in the average star formation rates of galaxies at fixed stellar mass in denser environments, in quantitative agreement with each other. By tracking satellites from their moment of infall in TNG100, we directly show that atomic hydrogen (H I) is depleted at fractionally higher rates than H2 on average. Supporting this picture, we find that the H2/H I mass ratios of satellites are elevated relative to centrals in xCOLD GASS. We provide additional predictions for the effect of environment on H2 --- both absolute and relative to H I --- that can be tested with spectral stacking in future CO surveys.

[10] 2020
The imperative to reduce carbon emissions in astronomy
Adam R. H. Stevens, Sabine Bellstedt, Pascal J. Elahi and Michael T. Murphy
Nature Astronomy, volume 4, issue 9, pages 843--851
For astronomers to make a significant contribution to the reduction of climate change-inducing greenhouse gas emissions, we first must quantify the sources of our emissions and review the most effective approaches for reducing them. Here we estimate that Australian astronomers' total greenhouse gas emissions from their regular work activities are ≳25 ktCO2e/yr (equivalent kilotonnes of carbon dioxide per year). This can be broken into ∼15 ktCO2e/yr from supercomputer usage, ∼4.2 ktCO2e/yr from flights (where individuals' flight emissions correlate with seniority), >3.3 ktCO2e/yr from the operation of observatories, and 2.6 ± 0.4 ktCO2e/yr from powering office buildings. Split across faculty scientists, postdoctoral researchers and PhD students, this averages to ≳37 tCO2e/yr per astronomer, more than 40% greater than the average Australian non-dependant's emissions in total, and equivalent to around five times the global average. To combat these environmentally unsustainable practices, we suggest that astronomers should strongly preference the use of supercomputers, observatories and office spaces that are predominantly powered by renewable energy sources. Where current facilities do not meet this requirement, their funders should be lobbied to invest in renewables, such as solar or wind farms. Air travel should also be reduced wherever possible, replaced primarily by video conferencing, which should also promote inclusivity.

[9] 2019
Origin of the galaxy H I size--mass relation
Adam R. H. Stevens, Benedikt Diemer, Claudia del P. Lagos + 4 co-authors
Monthly Notices of the Royal Astronomical Society, volume 490, pages 96--113
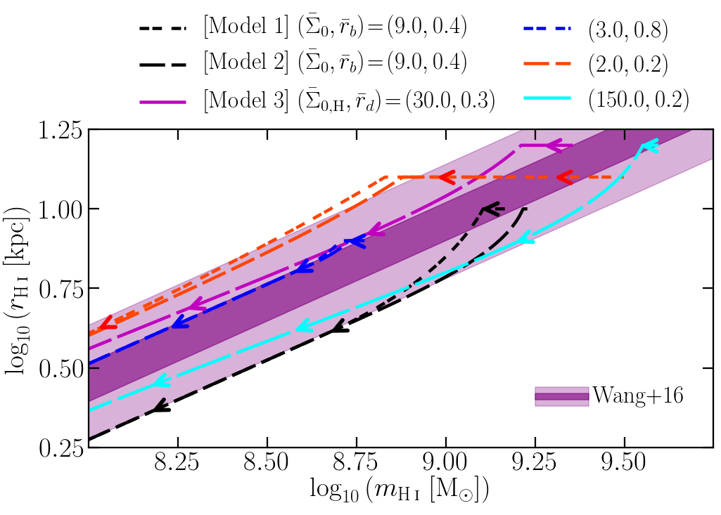
We analytically derive the observed size-mass relation of galaxies' atomic hydrogen (H I), including limits on its scatter, based on simple assumptions about the structure of H I discs. We trial three generic profiles for H I surface density as a function of radius. First, we assert that H I surface densities saturate at a variable threshold, and otherwise fall off exponentially with radius or, secondly, radius squared. Our third model assumes the total gas surface density is exponential, with the H I fraction at each radius depending on local pressure. These are tested against a compilation of 110 galaxies from the THINGS, LITTLE THINGS, LVHIS, and Bluedisk surveys, whose H I surface density profiles are well resolved. All models fit the observations well and predict consistent size-mass relations. Using an analytical argument, we explain why processes that cause gas disc truncation --- such as ram-pressure stripping --- scarcely affect the H I size--mass relation. This is tested with the IllustrisTNG(100) cosmological, hydrodynamic simulation and the DARK SAGE semi-analytic model of galaxy formation, both of which capture radially resolved disc structure. For galaxies with m_* ≥ 10^9 M_⊙ and m_{H I} ≥ 10^8 M_⊙, both simulations predict H I size--mass relations that align with observations, show no difference between central and satellite galaxies, and show only a minor, second-order dependence on host halo mass for satellites. Ultimately, the universally tight H I size--mass relation is mathematically inevitable and robust. Only by completely disrupting the structure of H I discs, e.g. through overly powerful feedback, could a simulation predict the relation poorly.

[8] 2019
Atomic hydrogen in IllustrisTNG galaxies: the impact of environment parallelled with local 21-cm surveys
Adam R. H. Stevens, Benedikt Diemer, Claudia del P. Lagos + 8 co-authors
Monthly Notices of the Royal Astronomical Society, volume 483, pages 5334--5354
We investigate the influence of environment on the cold-gas properties of galaxies at z = 0 within the TNG100 cosmological, magnetohydrodynamic simulation, part of the IllustrisTNG suite. We extend previous post-processing methods for breaking gas cells into their atomic and molecular phases, and build detailed mocks to comprehensively compare to the latest surveys of atomic hydrogen (H I) in nearby galaxies, namely ALFALFA and xGASS. We use TNG100 to explore the H I content, star formation activity, and angular momentum of satellite galaxies, each as a function of environment, and find that satellites are typically a factor of ≳3 poorer in H I than centrals of the same stellar mass, with the exact offset depending sensitively on parent halo mass. Due to the large physical scales on which H I measurements are made (∼45--245 kpc), contributions from gas not bound to the galaxy of interest but in the same line of sight crucially lead to larger H I mass measurements in the mocks in many cases, ultimately aligning with observations. This effect is mass-dependent and naturally greater for satellites than centrals, as satellites are never isolated by definition. We also show that H I stripping in TNG100 satellites is closely accompanied by quenching, in tension with observational data that instead favour that H I is preferentially stripped before star formation is reduced.

[7] 2018
Connecting and dissecting galaxies' angular momenta and neutral gas in a hierarchical universe: cue DARK SAGE
Adam R. H. Stevens, Claudia del. P Lagos, Danail Obreschkow and Manodeep Sinha
Monthly Notices of the Royal Astronomical Society, volume 481, pages 5543--5559
We explore the connection between the atomic gas fraction, f_atm, and 'global disc stability' parameter, q, of galaxies within a fully cosmological context by examining galaxies in the DARK SAGE semi-analytic model. The q parameter is determined by the ratio of disc specific angular momentum to mass, i.e. q ∝ j_disc/m_disc. DARK SAGE is well suited to our study, as it includes the numerical evolution of one-dimensional disc structure, making both j_disc and q predicted quantities. We show that DARK SAGE produces a clear correlation between gas fraction and j_disc at fixed disc mass, in line with recent results from observations and hydrodynamic simulations. This translates to a tight q--f_atm sequence for star-forming central galaxies, which closely tracks the analytic prediction of Obreschkow et al. The scatter in this sequence is driven by the probability distribution function of mass as a function of j (PDF of j) within discs, specifically where it peaks. We find that halo mass is primarily responsible for the peak location of the PDF of j, at least for low values of q. Two main mechanisms of equal significance are then identified for disconnecting f_atm from q. Mergers in the model can trigger quasar winds, with the potential to blow out most of the gas disc, while leaving the stellar disc relatively unharmed. Ram-pressure stripping of satellite galaxies has a similar effect, where f_atm can drop drastically with only a minimal effect to q. We highlight challenges associated with following these predictions up with observations.

[6] 2017
Physical drivers of galaxies' cold-gas content: exploring environmental and evolutionary effects with DARK SAGE
Adam R. H. Stevens and Toby Brown
Monthly Notices of the Royal Astronomical Society, volume 471, pages 447--462
We combine the latest spectrally stacked data of 21-cm emission from the Arecibo Legacy Fast ALFA survey with an updated version of the DARK SAGE semi-analytic model to investigate the relative contributions of secular and environmental astrophysical processes on shaping the H I fractions and quiescence of galaxies in the local Universe. We calibrate the model to match the observed mean H I fraction of all galaxies as a function of stellar mass. Without consideration of stellar feedback, disc instabilities and active galactic nuclei, we show how the slope and normalization of this relation would change significantly. We find DARK SAGE can reproduce the relative impact that halo mass is observed to have on satellites' H I fractions and quiescent fraction. However, the model satellites are systematically gas-poor. We discuss how this could be affected by satellite--central cross-contamination from the group-finding algorithm applied to the observed galaxies, but that it is not the full story. From our results, we suggest the anticorrelation between satellites' H I fractions and host halo mass, seen at fixed stellar mass and fixed specific star formation rate, can be attributed almost entirely to ram-pressure stripping of cold gas. Meanwhile, stripping of hot gas from around the satellites drives the correlation of quiescent fraction with halo mass at fixed stellar mass. Further detail in the modelling of galaxy discs' centres is required to solidify this result, however. We contextualize our results with those from other semi-analytic models and hydrodynamic simulations.

[5] 2017
How to get cool in the heat: comparing analytic models of hot, cold, and cooling gas in haloes and galaxies with EAGLE
Adam R. H. Stevens, Claudia del P. Lagos, Sergio Contreras + 5 co-authors
Monthly Notices of the Royal Astronomical Society, volume 467, pages 2066--2084
We use the hydrodynamic, cosmological EAGLE simulations to investigate how the hot gas in haloes condenses to form and grow galaxies. We select haloes from the simulations that are actively cooling and study the temperature, distribution and metallicity of their hot, cold and transitioning 'cooling' gas, placing these in the context of semi-analytic models. Our selection criteria lead us to focus on Milky Way-like haloes. We find that the hot-gas density profiles of the haloes form a progressively stronger core over time, the nature of which can be captured by a β profile that has a simple dependence on redshift. In contrast, the hot gas that will cool over a time-step is broadly consistent with a singular isothermal sphere. We find that cooling gas carries a few times the specific angular momentum of the halo and is offset in spin direction from the rest of the hot gas. The gas loses ∼60 per cent of its specific angular momentum during the cooling process, generally remaining greater than that of the halo, and it precesses to become aligned with the cold gas already in the disc. We find tentative evidence that angular-momentum losses are slightly larger when gas cools on to dispersion-supported galaxies. We show that an exponential surface density profile for gas arriving on a disc remains a reasonable approximation, but a cusp containing ∼20 per cent of the mass is always present, and disc scale radii are larger than predicted by a vanilla Fall & Efstathiou model. These scale radii are still closely correlated with the halo spin parameter, for which we suggest an updated prescription for galaxy formation models.

[4] 2016
Building disc structure and galaxy properties through angular momentum: the DARK SAGE semi-analytic model
Adam R. H. Stevens, Darren J. Croton and Simon J. Mutch
Monthly Notices of the Royal Astronomical Society, volume 461, pages 859--876
We present the new semi-analytic model of galaxy evolution, DARK SAGE, a heavily modified version of the publicly available SAGE code. The model is designed for detailed evolution of galactic discs. We evolve discs in a series of annuli with fixed specific angular momentum, which allows us to make predictions for the radial and angular-momentum structure of galaxies. Most physical processes, including all channels of star formation and associated feedback, are performed in these annuli. We present the surface density profiles of our model spiral galaxies, both as a function of radius and specific angular momentum, and find that the discs naturally build a pseudo-bulge-like component. Our main results are focused on predictions relating to the integrated mass-specific angular momentum relation of stellar discs. The model produces a distinct sequence between these properties in remarkable agreement with recent observational literature. We investigate the impact Toomre disc instabilities have on shaping this sequence and find they are crucial for regulating both the mass and spin of discs. Without instabilities, high-mass discs would be systematically deficient in specific angular momentum by a factor of ∼2.5, with increased scatter. Instabilities also appear to drive the direction in which the mass-spin sequence of spiral galaxy discs evolves. With them, we find galaxies of fixed mass have higher specific angular momentum at later epochs.

[3] 2015
Liberation of Specific Angular Momentum Through Radiation and Scattering in Relativistic Black-Hole Accretion Disks
Adam R. H. Stevens
Publications of the Astronomical Society of Australia, volume 32, article 30
A key component of explaining the array of galaxies observed in the Universe is the feedback of active galactic nuclei, each powered by a massive black hole's accretion disk. For accretion to occur, angular momentum must be lost by that which is accreted. Electromagnetic radiation must offer some respite in this regard, the contribution for which is quantified in this paper, using solely general relativity, under the thin-disk regime. Herein, I calculate extremised situations where photons are entirely responsible for energy removal in the disk and then extend and relate this to the standard relativistic accretion disk outlined by Novikov & Thorne, which includes internal angular-momentum transport. While there is potential for the contribution of angular-momentum removal from photons to be ≳ 1% out to ∼10,000 Schwarzschild radii if the disk is irradiated and maximally liberated of angular momentum through inverse Compton scattering, it is more likely of order 100 Schwarzschild radii if thermal emission from the disk itself is stronger. The effect of radiation/scattering is stronger near the horizons of fast-spinning black holes, but, ultimately, other mechanisms must drive angular-momentum liberation/transport in accretion disks.

[2] 2014
Where do galaxies end? Comparing measurement techniques of hydrodynamic-simulation galaxies' integrated properties
Adam R. H. Stevens, Marie Martig, Darren J. Croton and Yu Feng
Monthly Notices of the Royal Astronomical Society, volume 445, pages 239--255
Using the suite of high-resolution zoom re-simulations of individual haloes by Martig et al., and the large-scale simulation MassiveBlack-II, we examine the differences in measured galaxy properties from techniques with various aperture definitions of where galaxies end. We perform techniques popular in the literature and present a new technique of our own, where the aperture radius is based on the baryonic mass profiles of simulated (sub)haloes. For the average Milky Way-mass system, we find the two most popular techniques in the literature return differences of the order of 30 per cent for stellar mass, a factor of 3 for gas mass, 40 per cent for star formation rate, and factors of several for gas accretion and ejection rates. Individual cases can show variations greater than this, with the severity dependent on the concentration of a given system. The average difference in integrated properties for a more general galaxy population is not as striking, but is still significant for stellar and gas mass, especially for optical-limit apertures. The large differences that can occur are problematic for comparing results from various publications. We stress the importance of both defining and justifying a technique choice and discourage using popular apertures that use an exact fraction of the virial radius, due to the unignorable variation in galaxy-to-(sub)halo size. Finally, we note that technique choice does not greatly affect simulated galaxies from lying within the scatter of observed scaling relations, but it can alter the derived best-fitting slope for the Kennicutt--Schmidt relation.

[1] 2013
Simulating the Role of Stellar Rotation in the Spectroscopic Effects of Differential Limb Magnification
Adam R. H. Stevens and Michael D. Albrow
Publications of the Astronomical Society of Australia, volume 30, article 54
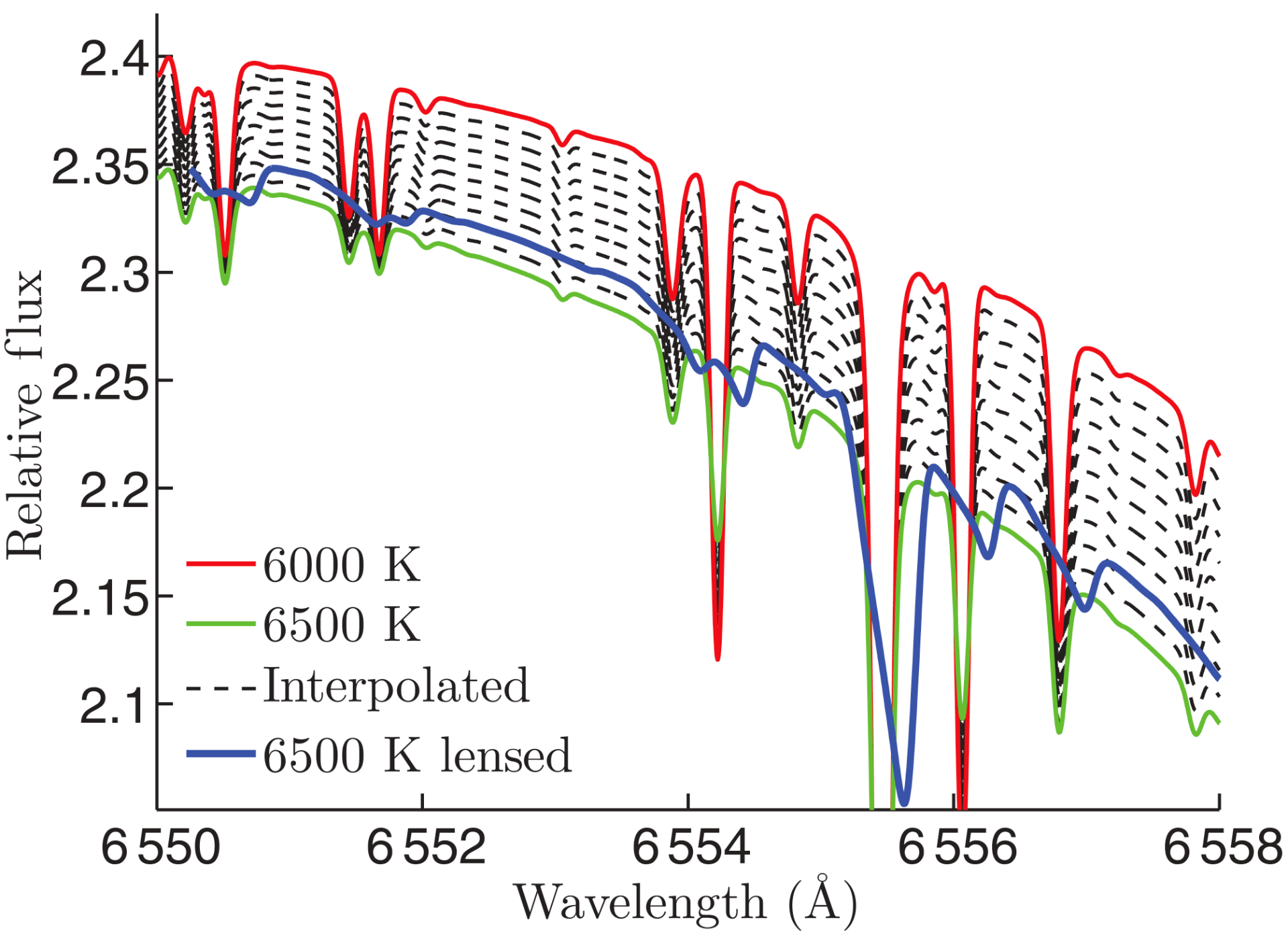
Finite-source effects of gravitationally microlensed stars have been well discussed in the literature, but the role that stellar rotation plays has been neglected. A differential magnification map applied to a differentially Doppler-shifted surface alters the profiles of absorption lines, compromising their ordinarily symmetric nature. Herein, we assess the degree to which this finite-source effect of differential limb magnification (DLM), in combination with stellar rotation, alters spectroscopically derived stellar properties. To achieve this, we simulated a grid of high-magnification microlensing events using synthetic spectra. Our analysis shows that rotation of the source generates differences in the measured equivalent widths of absorption lines supplementary to DLM alone, but only of the order of a few per cent. Using the wings of Hα from the same simulated data, we confirmed the result of Johnson and colleagues that DLM alters measurements of effective temperature by <100 K for dwarf stars, while showing rotation to bear no additional effect.

Second/Third-author publications
[12] 2023
The relationship between cluster environment and molecular gas content of star-forming galaxies in the EAGLE simulation
Aditya Manuwal and Adam R. H. Stevens
Monthly Notices of the Royal Astronomical Society, volume 523, pages 2738--2758
We employ the EAGLE hydrodynamical simulation to uncover the relationship between cluster environment and H2 content of star-forming galaxies at redshifts spanning 0<z<1. To do so, we divide the star-forming sample into those that are bound to clusters and those that are not. We find that, at any given redshift, the galaxies in clusters generally have less H2 than their non-cluster counterparts with the same stellar mass (corresponding to an offset of <0.5 dex), but this offset varies with stellar mass and is virtually absent at M*<10^9.3 Msun. The H2 deficit in star-forming cluster galaxies can be traced back to a decline in their H2 content that commenced after first infall into a cluster, which occurred later than a typical cluster galaxy. Evolution of the full cluster population after infall is generally consistent with `slow-then-rapid' quenching, but galaxies with M*<10^9.5 Msun exhibit rapid quenching. Unlike most cluster galaxies, star-forming ones were not pre-processed in groups prior to being accreted by clusters. For both of these cluster samples, the star formation efficiency remained oblivious to the infall. We track the particles associated with star-forming cluster galaxies and attribute the drop in H2 mass after infall to poor replenishment, depletion due to star formation, and stripping of H2 in cluster environments. These results provide predictions for future surveys, along with support and theoretical insights for existing molecular gas observations that suggest there is less H2 in cluster galaxies.
[11] 2022
H I HOD - I. The Halo Occupation Distribution of H I Galaxies
Fei Qin, Cullan Howlett, Adam R. H. Stevens, David Parkinson
The Astrophysical Journal, volume 937, article 113
The next generation of galaxy surveys will provide more precise measurements of galaxy clustering than have previously been possible. The 21-cm radio signals that are emitted from neutral atomic hydrogen (H I) gas will be detected by large-area radio surveys such as WALLABY and the SKA, and deliver galaxy positions and velocities that can be used to measure galaxy clustering statistics. But, to harness this information to improve our cosmological understanding, and learn about the physics of dark matter and dark energy, we need to accurately model the manner in which galaxies detected in H I trace the underlying matter distribution of the Universe. For this purpose, we develop a new H I-based Halo Occupation Distribution (HOD) model, which makes predictions for the number of galaxies present in dark matter halos conditional on their H I mass. The parameterised HOD model is fit and validated using the Dark Sage semi-analytic model, where we show that the HOD parameters can be modelled by simple linear and quadratic functions of H I mass. However, we also find that the clustering predicted by the HOD depends sensitively on the radial distributions of the H I galaxies within their host dark matter halos, which does not follow the NFW profile in the Dark Sage simulation. As such, this work enables --- for the first time --- a simple prescription for placing galaxies of different H I mass within dark matter halos in a way that is able to reproduce the H I mass-dependent galaxy clustering and H I mass function simultaneously. Further efforts are required to demonstrate that this model can be used to produce large ensembles of mock galaxy catalogues for upcoming surveys.
[10] 2022
Drivers of asymmetry in synthetic H I emission-line profiles of galaxies in the EAGLE simulation
Aditya Manuwal, Aaron D. Ludlow, Adam R. H. Stevens + 2 co-authors
Monthly Notices of the Royal Astronomical Society, volume 510, pages 3408--3429
We study the shapes of spatially integrated H I emission-line profiles of galaxies in the EAGLE simulation using three separate measures of the profile's asymmetry. We show that the subset of EAGLE galaxies whose gas fractions and stellar masses are consistent with those in the xGASS survey also have similar H I line asymmetries. Central galaxies with symmetric H I line profiles typically correspond to rotationally supported H I and stellar discs, but those with asymmetric line profiles may or may not correspond to dispersion-dominated systems. Galaxies with symmetric H I emission lines are, on average, more gas rich than those with asymmetric lines, and also exhibit systematic differences in their specific star formation rates, suggesting that turbulence generated by stellar or AGN feedback may be one factor contributing to H I line asymmetry. The line asymmetry also correlates strongly with the dynamical state of a galaxy's host dark matter halo: older, more relaxed haloes host more-symmetric galaxies than those hosted by unrelaxed ones. At fixed halo mass, asymmetric centrals tend to be surrounded by a larger number of massive subhaloes than their symmetric counterparts, and also experience higher rates of gas accretion and outflow. At fixed stellar mass, central galaxies have, on average, more symmetric H I emission lines than satellites; for the latter, ram pressure and tidal stripping are significant sources of asymmetry.
[9] 2021
WALLABY pre-pilot survey: Two dark clouds in the vicinity of NGC 1395
O. I. Wong, A. R. H. Stevens, B.-Q. For + 34 co-authors
Monthly Notices of the Royal Astronomical Society, volume 507, pages 2905--2921
We present the Australian Square Kilometre Array Pathfinder (ASKAP) WALLABY pre-pilot observations of two 'dark' H I sources (with H I masses of a few times 10^8 M_⊙ and no known stellar counterpart) that reside within 363 kpc of NGC 1395, the most massive early-type galaxy in the Eridanus group of galaxies. We investigate whether these 'dark' H I sources have resulted from past tidal interactions or whether they are an extreme class of low surface brightness galaxies. Our results suggest that both scenarios are possible, and not mutually exclusive. The two 'dark' H I sources are compact, reside in relative isolation, and are more than 159 kpc away from their nearest H I-rich galaxy neighbour. Regardless of origin, the H I sizes and masses of both 'dark' H I sources are consistent with the H I size--mass relationship that is found in nearby low-mass galaxies, supporting the possibility that these H I sources are an extreme class of low surface brightness galaxies. We identified three analogues of candidate primordial 'dark' H I galaxies within the TNG100 cosmological, hydrodynamic simulation. All three model analogues are dark matter dominated, have assembled most of their mass 12--13 Gyr ago, and have not experienced much evolution until cluster infall 1--2 Gyr ago. Our WALLABY pre-pilot science results suggest that the upcoming large-area H I surveys will have a significant impact on our understanding of low surface brightness galaxies and the physical processes that shape them.
[8] 2021
Unveiling the atomic hydrogen--halo mass relation via spectral stacking
Garima Chauhan, Claudia del P. Lagos, Adam R. H. Stevens + 5 co-authors
Monthly Notices of the Royal Astronomical Society, volume 506, pages 4893--4913
Measuring the H I--halo mass scaling relation (HIHM) is fundamental to understanding the role of H I in galaxy formation and its connection to structure formation. While direct measurements of the H I mass in haloes are possible using H I-spectral stacking, the reported shape of the relation depends on the techniques used to measure it (e.g. monotonically increasing with mass versus flat, mass-independent). Using a simulated H I and optical survey produced with the SHARK semi-analytic galaxy formation model, we investigate how well different observational techniques can recover the intrinsic, theoretically predicted, HIHM relation. We run a galaxy group finder and mimic the H I stacking procedure adopted by different surveys and find we can reproduce their observationally derived HIHM relation. However, none of the adopted techniques recover the underlying HIHM relation predicted by the simulation. We find that systematic effects in halo mass estimates of galaxy groups modify the inferred shape of the HIHM relation from the intrinsic one in the simulation, while contamination by interloping galaxies, not associated with the groups, contribute to the inferred H I mass of a halo mass bin, when using large velocity windows for stacking. The effect of contamination is maximal at M_vir ∼10^{12--12.5} M_⊙ . Stacking methods based on summing the H I emission spectra to infer the mean H I mass of galaxies of different properties belonging to a group suffer minimal contamination but are strongly limited by the use of optical counterparts, which miss the contribution of dwarf galaxies. Deep spectroscopic surveys will provide significant improvements by going deeper while maintaining high spectroscopic completeness; for example, the WAVES survey will recover ∼52 per cent of the total H I mass of the groups with M_vir ∼ 10^14 M⊙ compared to ∼21 per cent in GAMA.
[7] 2020
The physical drivers of the atomic hydrogen--halo mass relation
Garima Chauhan, Claudia del P. Lagos, Adam R. H. Stevens + 3 co-authors
Monthly Notices of the Royal Astronomical Society, volume 498, pages 44--67
We use the state-of-the-art semi-analytic galaxy formation model SHARK to investigate the physical processes involved in dictating the shape, scatter, and evolution of the H I--halo mass (HIHM) relation at 0 ≤ z ≤ 2. We compare SHARK with H I clustering and spectral stacking of the HIHM relation derived from observations, finding excellent agreement with the former and a deficiency of H I in SHARK at M_vir ≈ 10^{12--13} M_⊙ in the latter. In SHARK, we find that the H I mass increases with the halo mass up to a critical mass of ≈10^11.8 M_⊙; between ≈10^11 and 10^13 M_⊙, the scatter in the relation increases by 0.7 dex and the H I mass decreases with the halo mass on average (till M_vir ∼ 10^12.5 M_⊙, after which it starts increasing); at M_vir ≳ 10^13 M_⊙, the H I content continues to increase with increasing halo mass, as a result of the increasing H I contribution from satellite galaxies. We find that the critical halo mass of ≈10^12 M_⊙ is set by feedback from active galactic nuclei (AGNs) which affects both the shape and scatter of the HIHM relation, with other physical processes playing a less significant role. We also determine the main secondary parameters responsible for the scatter of the HIHM relation, namely the halo spin parameter at M_vir< 10^11.8 M_⊙, and the fractional contribution from substructure to the total halo mass (M_h^sat/M_vir") for M_vir> 10^13 M_⊙. The scatter at 10^11.8 M_⊙ < M_vir < 10^13 M_⊙ is best described by the black hole-to-stellar mass ratio of the central galaxy, reflecting the relevance of AGN feedback. We present a numerical model to populate dark matter-only simulations with H I at 0 ≤ z ≤ 2 based solely on halo parameters that are measurable in such simulations.
[6] 2020
Galaxy cold gas contents in modern cosmological hydrodynamic simulations
Romeel Davé, Robert A. Crain, Adam R. H. Stevens + 4 co-authors
Monthly Notices of the Royal Astronomical Society, volume 497, pages 146--166
We present a comparison of galaxy atomic and molecular gas properties in three recent cosmological hydrodynamic simulations, namely SIMBA, EAGLE, and IllustrisTNG, versus observations from z ∼ 0 to 2. These simulations all rely on similar subresolution prescriptions to model cold interstellar gas that they cannot represent directly, and qualitatively reproduce the observed z = 0 H I and H2 mass functions (HIMFs and H2MFs, respectively), CO(1--0) luminosity functions (COLFs), and gas scaling relations versus stellar mass, specific star formation rate, and stellar surface density μ_*, with some quantitative differences. To compare to the COLF, we apply an H2-to-CO conversion factor to the simulated galaxies based on their average molecular surface density and metallicity, yielding substantial variations in α_CO and significant differences between models. Using this, predicted z = 0 COLFs agree better with data than predicted H2MFs. Out to z ∼ 2, EAGLE's and SIMBA's HIMFs and COLFs strongly increase, while IllustrisTNG's HIMF declines and COLF evolves slowly. EAGLE and SIMBA reproduce high-L_CO(1--0) galaxies at z ∼ 1--2 as observed, owing partly to a median α_CO(z = 2) ∼ 1 versus α_CO(z = 0) ∼ 3. Examining H I, H2, and CO scaling relations, their trends with M_* are broadly reproduced in all models, but EAGLE yields too little H I in green valley galaxies, IllustrisTNG and SIMBA overproduce cold gas in massive galaxies, and SIMBA overproduces molecular gas in small systems. Using SIMBA variants that exclude individual active galactic nucleus (AGN) feedback modules, we find that SIMBA's AGN jet feedback is primarily responsible by lowering cold gas contents from z ∼ 1 → 0 by suppressing cold gas in M_∗ ≳ 10^10 M_⊙ galaxies, while X-ray feedback suppresses the formation of high-μ_* systems.
[5] 2019
Atomic and molecular gas in IllustrisTNG galaxies at low redshift
Benedikt Diemer, Adam R. H. Stevens, Claudia del P. Lagos + 9 co-authors
Monthly Notices of the Royal Astronomical Society, volume 487, pages 1529--1550
We have recently developed a post-processing framework to estimate the abundance of atomic and molecular hydrogen (H I and H2, respectively) in galaxies in large-volume cosmological simulations. Here we compare the H I and H2 content of IllustrisTNG galaxies to observations. We mostly restrict this comparison to z ≈ 0 and consider six observational metrics: the overall abundance of H I and H2, their mass functions, gas fractions as a function of stellar mass, the correlation between H2 and star formation rate, the spatial distribution of gas, and the correlation between gas content and morphology. We find generally good agreement between simulations and observations, particularly for the gas fractions and the H I mass--size relation. The H2 mass correlates with star formation rate as expected, revealing an almost constant depletion time that evolves up to z = 2 as observed. However, we also discover a number of tensions with varying degrees of significance, including an overestimate of the total neutral gas abundance at z = 0 by about a factor of 2 and a possible excess of satellites with no or very little neutral gas. These conclusions are robust to the modelling of the H I/H2 transition. In terms of their neutral gas properties, the IllustrisTNG simulations represent an enormous improvement over the original Illustris run. All data used in this paper are publicly available as part of the IllustrisTNG data release.
[4] 2018
Modeling the atomic-to-molecular transition in cosmological simulations of galaxy formation
Benedikt Diemer, Adam R. H. Stevens, John Forbes + 10 co-authors
The Astrophysical Journal Supplement Series, volume 238, article 33
Large-scale cosmological simulations of galaxy formation currently do not resolve the densities at which molecular hydrogen forms, implying that the atomic-to-molecular transition must be modeled either on the fly or in postprocessing. We present an improved postprocessing framework to estimate the abundance of atomic and molecular hydrogen and apply it to the IllustrisTNG simulations. We compare five different models for the atomic-to-molecular transition, including empirical, simulation-based, and theoretical prescriptions. Most of these models rely on the surface density of neutral hydrogen and the ultraviolet (UV) flux in the Lyman-Werner band as input parameters. Computing these quantities on the kiloparsec scale resolved by the simulations emerges as the main challenge. We show that the commonly used Jeans length approximation to the column density of a system can be biased and exhibits large cell-to-cell scatter. Instead, we propose to compute all surface quantities in face-on projections and perform the modeling in two dimensions. In general, the two methods agree on average, but their predictions diverge for individual galaxies and for models based on the observed midplane pressure of galaxies. We model the UV radiation from young stars by assuming a constant escape fraction and optically thin propagation throughout the galaxy. With these improvements, we find that the five models for the atomic-to-molecular transition roughly agree on average but that the details of the modeling matter for individual galaxies and the spatial distribution of molecular hydrogen. We emphasize that the estimated molecular fractions are approximate due to the significant systematic uncertainties.
[3] 2018
Quantifying the impact of mergers on the angular momentum of simulated galaxies
Claudia del P. Lagos, Adam R. H. Stevens, Richard G. Bower + 8 co-authors
Monthly Notices of the Royal Astronomical Society, volume 473, pages 4956--4974
We use EAGLE to quantify the effect galaxy mergers have on the stellar specific angular momentum of galaxies, j_stars. We split mergers into dry (gas-poor)/wet (gas-rich), major/minor and different spin alignments and orbital parameters. Wet (dry) mergers have an average neutral gas-to-stellar mass ratio of 1.1 (0.02), while major (minor) mergers are those with stellar mass ratios ≥0.3 (0.1--0.3). We correlate the positions of galaxies in the j_stars--stellar mass plane at z = 0 with their merger history, and find that galaxies of low spins suffered dry mergers, while galaxies of normal/high spins suffered predominantly wet mergers, if any. The radial j_stars profiles of galaxies that went through dry mergers are deficient by ≈0.3 dex at r ≲ 10 r_50 (with r_50 being the half-stellar mass radius), compared to galaxies that went through wet mergers. Studying the merger remnants reveals that dry mergers reduce j_stars by ≈30 per cent, while wet mergers increase it by ≈10 per cent, on average. The latter is connected to the build-up of the bulge by newly formed stars of high rotational speed. Moving from minor to major mergers accentuates these effects. When the spin vectors of the galaxies prior to the dry merger are misaligned, j_stars decreases by a greater magnitude, while in wet mergers corotation and high orbital angular momentum efficiently spun-up galaxies. We predict what would be the observational signatures in the j_stars profiles driven by dry mergers: (i) shallow radial profiles and (ii) profiles that rise beyond ≈10 r50, both of which are significantly different from spiral galaxies.
[2] 2017
Angular momentum evolution of galaxies in EAGLE
Claudia del P. Lagos, Tom Theuns, Adam R. H. Stevens + 5 co-authors
Monthly Notices of the Royal Astronomical Society, volume 464, pages 3850--3870
We use the EAGLE cosmological hydrodynamic simulation suite to study the specific angular momentum of galaxies, j, with the aims of (i) investigating the physical causes behind the wide range of j at fixed mass and (ii) examining whether simple, theoretical models can explain the seemingly complex and non-linear nature of the evolution of j. We find that j of the stars, j_stars, and baryons, j_bar, are strongly correlated with stellar and baryon mass, respectively, with the scatter being highly correlated with morphological proxies such as gas fraction, stellar concentration, (u-r) intrinsic colour, stellar age and the ratio of circular velocity to velocity dispersion. We compare with available observations at z = 0 and find excellent agreement. We find that j_bar follows the theoretical expectation of an isothermal collapsing halo under conservation of specific angular momentum to within ≈50 per cent, while the subsample of rotation-supported galaxies are equally well described by a simple model in which the disc angular momentum is just enough to maintain marginally stable discs. We extracted evolutionary tracks of the stellar spin parameter of EAGLE galaxies and found that the fate of their j_stars at z = 0 depends sensitively on their star formation and merger histories. From these tracks, we identified two distinct physical channels behind low j_stars galaxies at z = 0: (i) galaxy mergers, and (ii) early star formation quenching. The latter can produce galaxies with low j_stars and early-type morphologies even in the absence of mergers.
[1] 2016
Semi-Analytic Galaxy Evolution (SAGE): Model Calibration and Basic Results
Darren J. Croton, Adam R. H. Stevens, Chiara Tonini + 7 co-authors
The Astrophysical Journal Supplement Series, volume 222, article 22
This paper describes a new publicly available codebase for modeling galaxy formation in a cosmological context, the "Semi-Analytic Galaxy Evolution" model, or SAGE for short. SAGE is a significant update to the 2006 model of Croton et al. and has been rebuilt to be modular and customizable. The model will run on any N-body simulation whose trees are organized in a supported format and contain a minimum set of basic halo properties. In this work, we present the baryonic prescriptions implemented in sage to describe the formation and evolution of galaxies, and their calibration for three N-body simulations: Millennium, Bolshoi, and GiggleZ. Updated physics include the following: gas accretion, ejection due to feedback, and reincorporation via the galactic fountain; a new gas cooling-radio mode active galactic nucleus (AGN) heating cycle; AGN feedback in the quasar mode; a new treatment of gas in satellite galaxies; and galaxy mergers, disruption, and the build-up of intra-cluster stars. Throughout, we show the results of a common default parameterization on each simulation, with a focus on the local galaxy population.
Nth-author publications
[29] 2023
VERTICO VI: Cold-Gas Asymmetries in Virgo Cluster Galaxies
Ian D. Roberts, Toby Brown, Nikki Zabel + 20 co-authors
Astronomy & Astrophysics, volume 675, article 78
[28] 2023
Galaxy And Mass Assembly (GAMA): The group H I mass as a function of halo mass
Ajay Dev, Simon P. Driver, Martin Meyer + 11 co-authors
Monthly Notices of the Royal Astronomical Society, volume 523, pages 2693--2709
[27] 2023
VERTICO V: The environmentally driven evolution of the inner cold gas discs of Virgo cluster galaxies
Adam B. Watts, Luca Cortese, Barbara Catinella + 18 co-authors
Publications of the Astronomical Society of Australia, volume 40, article 17
[26] 2023
Early Results from GLASS-JWST. XVIII. A First Morphological Atlas of the 1 < z < 5 Universe in the Rest-frame Optical
Colin Jacobs, Karl Glazebrook, Antonello Calabrò + 19 co-authors
The Astrophysical Journal Letters, article 948, article 13
[25] 2023
VERTICO III: The Kennicutt-Schmidt relation in Virgo cluster galaxies
M. J. Jiménez-Donaire, T. Brown, C. D. Wilson + 19 co-authors
Astronomy & Astrophysics, volume 671, article 3
[24] 2022
VERTICO IV: Environmental Effects on the Gas Distribution and Star Formation Efficiency of Virgo Cluster Spirals
Vicente Villanueva, Alberto D. Bolatto, Stuart Vogel + 18 co-authors
The Astrophysical Journal, volume 940, article 176
[23] 2022
An orbital perspective on the starvation, stripping, and quenching of satellite galaxies in the EAGLE simulations
Ruby J. Wright, Claudia del P. Lagos, Chris Power + 3 co-authors
Monthly Notices of the Royal Astronomical Society, volume 516, pages 2891--2912
[22] 2022
VERTICO II: How H I-identified Environmental Mechanisms Affect the Molecular Gas in Cluster Galaxies
Nikki Zabel, Toby Brown, Christine D. Wilson + 17 co-authors
The Astrophysical Journal, volume 933, article 10
[21] 2022
UNITSIM-Galaxies: data release and clustering of emission-line galaxies
Alexander Knebe, Daniel Lopez-Cano, Santiago Avila + 7 co-authors
Monthly Notices of the Royal Astronomical Society, volume 510, pages 5392--5407
[20] 2022
Cold Gas in Massive Galaxies as a Critical Test of Black Hole Feedback Models
Jingjing Shi, Yingjie Peng, Benedikt Diemer + 15 co-authors
The Astrophysical Journal, volume 927, article 189
[19] 2022
WALLABY pilot survey: H I gas disc truncation and star formation of galaxies falling into the Hydra I cluster
T. N. Reynolds, B. Catinella, L. Cortese + 25 co-authors
Monthly Notices of the Royal Astronomical Society, volume 510, pages 1716--1732
[18] 2022
H I IM correlation function from UNIT simulations: BAO and observationally induced anisotropy
Santiago Avila, Bernhard Vos-Gines, Steven Cunnington + 4 co-authors
Monthly Notices of the Royal Astronomical Society, volume 510, pages 292--308
[17] 2021
VERTICO: The Virgo Environment Traced in CO Survey
Toby Brown, Christine D. Wilson, Nikki Zabel + 33 co-authors
The Astrophysical Journal Supplement Series, volume 257, article 21
[16] 2021
Angular Momentum and Morphological Sequence of Massive Galaxies through DARK SAGE
Antonio J. Porras-Valverde, Kelly Holley-Bockelmann, Andreas A. Berlind and Adam R. H. Stevens
The Astrophysical Journal, volume 923, article 273
[15] 2021
WALLABY pre-pilot survey: The effects of angular momentum and environment on the HI gas and star formation properties of galaxies in the Eridanus supergroup
C. Murugeshan, V. A. Kilborn, B.-Q. For + 17 co-authors
Monthly Notices of the Royal Astronomical Society, , volume 507, pages 2949--2967
[14] 2021
WALLABY pilot survey: first look at the Hydra I cluster and ram pressure stripping of ESO 501-G075
T. N. Reynolds, T. Westmeier, A. Elagali + 17 co-authors
Monthly Notices of the Royal Astronomical Society, volume 505, pages 1891--1904
[13] 2021
The distribution and properties of DLAs at z ≤ 2 in the EAGLE simulations
Lilian Garratt-Smithson, Chris Power, Claudia del P. Lagos + 3 co-authors
Monthly Notices of the Royal Astronomical Society, volume 501, pages 4396--4419
[12] 2020
Global H I asymmetries in IllustrisTNG: a diversity of physical processes disturb the cold gas in galaxies
Adam B. Watts, Chris Power, Barbara Catinella + 2 co-authors
Monthly Notices of the Royal Astronomical Society, volume 499, pages 5205--5219
[11] 2020
Galaxy And Mass Assembly (GAMA): a forensic SED reconstruction of the cosmic star formation history and metallicity evolution by galaxy type
Sabine Bellstedt, Aaron S. G. Robotham, Simon P. Driver + 9 co-authors
Monthly Notices of the Royal Astronomical Society, volume 498, pages 5581--5603
[10] 2020
[O II] emitters in MultiDark-Galaxies and DEEP2
G. Favole, V. Gonzalez-Perez, A. Orsi + 13 co-authors
Monthly Notices of the Royal Astronomical Society, volume 497, pages 5432--5453
[9] 2020
WALLABY -- an SKA Pathfinder H I survey
B. S. Koribalski, L. Staveley-Smith, T. Westmeier + 67 co-authors
Astrophysics and Space Science, volume 365, article 118
[8] 2019
THETHREEHUNDRED Project: ram pressure and gas content of haloes and subhaloes in the phase-space plane
Jake Arthur, Frazer R. Pearce, Meghan E. Gray + 12 co-authors
Monthly Notices of the Royal Astronomical Society, volume 484, pages 3968--3983
[7] 2019
Galaxy and Mass Assembly (GAMA): environmental quenching of centrals and satellites in groups
L. J. M. Davies, A. S. G. Robotham, C. del P. Lagos + 16 co-authors
Monthly Notices of the Royal Astronomical Society, volume 483, pages 5444--5458
[6] 2018
The Three Hundred project: a large catalogue of theoretically modelled galaxy clusters for cosmological and astrophysical applications
Weiguang Cui, Alexander Knebe, Gustavo Yepes + 34 co-authors
Monthly Notices of the Royal Astronomical Society, volume 480, pages 2898--2915
[5] 2018
Cosmic CARNage II: the evolution of the galaxy stellar mass function in observations and galaxy formation models
Rachel Asquith, Frazer R. Pearce, Omar Almaini + 24 co-authors
Monthly Notices of the Royal Astronomical Society, volume 480, pages 1197--1210
[4] 2018
The SLUGGS survey: a comparison of total-mass profiles of early-type galaxies from observations and cosmological simulations, to ∼4 effective radii
Sabine Bellstedt, Duncan A. Forbes, Aaron J. Romanowsky + 11 co-authors
Monthly Notices of the Royal Astronomical Society, volume 476, pages 4543--4564
[3] 2018
The H IX galaxy survey - II. H I kinematics of H I eXtreme galaxies
K. A. Lutz, V. A. Kilborn, B. S. Koribalski + 6 co-authors
Monthly Notices of the Royal Astronomical Society, volume 476, pages 3744--3780
[2] 2018
Cosmic CARNage I: on the calibration of galaxy formation models
Alexander Knebe, Frazer R. Pearce, Violeta Gonzalez-Perez + 31 co-authors
Monthly Notices of the Royal Astronomical Society, volume 475, pages 2936--2954
[1] 2018
MultiDark-Galaxies: data release and first results
Alexander Knebe, Doris Stoppacher, Francisco Prada + 18 co-authors
Monthly Notices of the Royal Astronomical Society, volume 474, pages 5206--5231